N-D Test Functions B¶Bartels-Conn test objective function.
This class defines the Bartels-Conn global optimization problem. This is a multimodal minimization problem defined as follows:

Here,
represents the number of dimensions and
for
.
Two-dimensional Bartels-Conn function
Global optimum:
for
for 
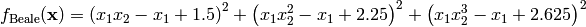
Beale test objective function.
This class defines the Beale global optimization problem. This is a multimodal minimization problem defined as follows:

Here,
represents the number of dimensions and
for
.
Two-dimensional Beale function
Global optimum:
for ![\mathbf{x} = [3, 0.5]](_images/math/7556b9d5a91ab3ce2ed1352ec7eb8ac0444d94e4.png)
Bird test objective function.
This class defines the Bird global optimization problem. This is a multimodal minimization problem defined as follows:
![f_{\text{Bird}}(\mathbf{x}) = \left(x_1 - x_2\right)^{2} + e^{\left[1 - \sin\left(x_1\right) \right]^{2}} \cos\left(x_2\right) + e^{\left[1 - \cos\left(x_2\right)\right]^{2}} \sin\left(x_1\right)](_images/math/a1e6cece66cb54f437593eed9031980c82e87db7.png)
Here,
represents the number of dimensions and
for
.
Two-dimensional Bird function
Global optimum:
for
or
![\mathbf{x} = [-1.582142172055011, -3.130246799635430]](_images/math/6500fed0ae9df23ef7d80a1f58be43795146a646.png)
Bohachevsky test objective function.
This class defines the Bohachevsky global optimization problem. This is a multimodal minimization problem defined as follows:
![f_{\text{Bohachevsky}}(\mathbf{x}) = \sum_{i=1}^{n-1}\left[x_i^2 + 2x_{i+1}^2 - 0.3\cos(3\pi x_i) - 0.4\cos(4\pi x_{i+1}) + 0.7\right]](_images/math/02246e00b06982cb71dd984f213e9a8ad5e293e0.png)
Here,
represents the number of dimensions and
for
.
Two-dimensional Bohachevsky function
Global optimum:
for
for 
BoxBetts test objective function.
This class defines the Box-Betts global optimization problem. This is a multimodal minimization problem defined as follows:

Where, in this exercise:
![g(x) = e^{-0.1(i+1)x_1} - e^{-0.1(i+1)x_2} - \left[(e^{-0.1(i+1)}) - e^{-(i+1)}x_3\right]](_images/math/7ba7b0a5e6a8960f8dd423640d3c1ba34e4cbc0a.png)
And
.
Here,
represents the number of dimensions and
.
Global optimum:
for ![\mathbf{x} = [1, 10, 1]](_images/math/54416a2cfa5f9c8d99eac3a814babf4e357b264a.png)
Branin 1 test objective function.
This class defines the Branin 1 global optimization problem. This is a multimodal minimization problem defined as follows:

Here,
represents the number of dimensions and ![x_1 \in [-5, 10], x_2 \in [0, 15]](_images/math/eb86aee84170be0b8d3183e5792db32f5725762b.png)
Two-dimensional Branin 1 function
Global optimum:
for
or
or ![\mathbf{x} = [9.42478, 2.475]](_images/math/2da2e1b76a199e8f421b18d3e3471d5b988ec44b.png)
Branin 2 test objective function.
This class defines the Branin 2 global optimization problem. This is a multimodal minimization problem defined as follows:

Here,
represents the number of dimensions and
for
.
Two-dimensional Branin 2 function
Global optimum:
for ![\mathbf{x} = [-3.2, 12.53]](_images/math/3961655f0193910d273164cd8e73a52dad4e06fd.png)
Brent test objective function.
This class defines the Brent global optimization problem. This is a multimodal minimization problem defined as follows:

Here,
represents the number of dimensions and
for
.
Two-dimensional Brent function
Global optimum:
for ![\mathbf{x} = [-10, -10]](_images/math/3bf01f9b5da15614949c5a71e671d242187d3b95.png)
Brown test objective function.
This class defines the Brown global optimization problem. This is a multimodal minimization problem defined as follows:
![f_{\text{Brown}}(\mathbf{x}) = \sum_{i=1}^{n-1}\left[ \left(x_i^2\right)^{x_{i+1}^2+1} + \left(x_{i+1}^2\right)^{x_i^2+1} \right]](_images/math/5376b7cb74159ed8abccbff5bb021da18f77f353.png)
Here,
represents the number of dimensions and
for
.
Two-dimensional Brown function
Global optimum:
for
for 
Bukin 2 test objective function.
This class defines the Bukin 2 global optimization problem. This is a multimodal minimization problem defined as follows:

Here,
represents the number of dimensions and ![x_1 \in [-15, -5], x_2 \in [-3, 3]](_images/math/32f10acd15d93bf61fdea3d1954ea0f2ea51d975.png)
Two-dimensional Bukin 2 function
Global optimum:
for ![\mathbf{x} = [-10, 0]](_images/math/d48ed59171692b77e95b251deb1673a36785fa96.png)
Bukin 4 test objective function.
This class defines the Bukin 4 global optimization problem. This is a multimodal minimization problem defined as follows:

Here,
represents the number of dimensions and ![x_1 \in [-15, -5], x_2 \in [-3, 3]](_images/math/32f10acd15d93bf61fdea3d1954ea0f2ea51d975.png)
Two-dimensional Bukin 4 function
Global optimum:
for ![\mathbf{x} = [-10, 0]](_images/math/d48ed59171692b77e95b251deb1673a36785fa96.png)
Bukin 6 test objective function.
This class defines the Bukin 6 global optimization problem. This is a multimodal minimization problem defined as follows:

Here,
represents the number of dimensions and ![x_1 \in [-15, -5], x_2 \in [-3, 3]](_images/math/32f10acd15d93bf61fdea3d1954ea0f2ea51d975.png)
Two-dimensional Bukin 6 function
Global optimum:
for ![\mathbf{x} = [-10, 1]](_images/math/6449283db0e33dd2d949047efc0c724e9811aa63.png)