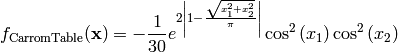
N-D Test Functions C¶CarromTable test objective function.
This class defines the CarromTable global optimization problem. This is a multimodal minimization problem defined as follows:

Here,
represents the number of dimensions and
for
.
Two-dimensional CarromTable function
Global optimum:
for
for 
Chichinadze test objective function.
This class defines the Chichinadze global optimization problem. This is a multimodal minimization problem defined as follows:

Here,
represents the number of dimensions and
for
.
Two-dimensional Chichinadze function
Global optimum:
for ![\mathbf{x} = [6.189866586965680, 0.5]](_images/math/5f05f88427975a946afc3cd8c5370fc8c0cef4e2.png)
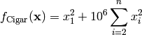
Cigar test objective function.
This class defines the Cigar global optimization problem. This is a multimodal minimization problem defined as follows:

Here,
represents the number of dimensions and
for
.
Two-dimensional Cigar function
Global optimum:
for
for 
Cola test objective function.
This class defines the Cola global optimization problem. The 17-dimensional function computes
indirectly the formula
by setting
:

Where
is given by:

And
is a symmetric matrix given by:
![\mathbf{d} = \left [ d_{ij} \right ] = \begin{pmatrix}
1.27 & & & & & & & & \\
1.69 & 1.43 & & & & & & & \\
2.04 & 2.35 & 2.43 & & & & & & \\
3.09 & 3.18 & 3.26 & 2.85 & & & & & \\
3.20 & 3.22 & 3.27 & 2.88 & 1.55 & & & & \\
2.86 & 2.56 & 2.58 & 2.59 & 3.12 & 3.06 & & & \\
3.17 & 3.18 & 3.18 & 3.12 & 1.31 & 1.64 & 3.00 & \\
3.21 & 3.18 & 3.18 & 3.17 & 1.70 & 1.36 & 2.95 & 1.32 & \\
2.38 & 2.31 & 2.42 & 1.94 & 2.85 & 2.81 & 2.56 & 2.91 & 2.97
\end{pmatrix}](_images/math/ff0c1fb88112b9fb6d119f6999d2add82f8ae22b.png)
This function has bounds
and
for
. It
has a global minimum of 11.7464.
Colville test objective function.
This class defines the Colville global optimization problem. This is a multimodal minimization problem defined as follows:

Here,
represents the number of dimensions and
for
.
Global optimum:
for
for 
Corana test objective function.
This class defines the Corana global optimization problem. This is a multimodal minimization problem defined as follows:
![f_{\text{Corana}}(\mathbf{x}) = \begin{cases} \sum_{i=1}^n 0.15 d_i [z_i - 0.05\textrm{sgn}(z_i)]^2 & \textrm{if}|x_i-z_i| < 0.05 \\
d_ix_i^2 & \textrm{otherwise}\end{cases}](_images/math/f26b4f4f9ba4603649e6e8cfcc4c69071165b69d.png)
Where, in this exercise:

Here,
represents the number of dimensions and
for
.
Global optimum:
for
for 
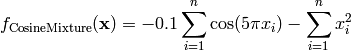
Cosine Mixture test objective function.
This class defines the Cosine Mixture global optimization problem. This is a multimodal minimization problem defined as follows:

Here,
represents the number of dimensions and
for
.
Two-dimensional Cosine Mixture function
Global optimum:
for
for 
Cross-in-Tray test objective function.
This class defines the Cross-in-Tray global optimization problem. This is a multimodal minimization problem defined as follows:

Here,
represents the number of dimensions and
for
.
Two-dimensional Cross-in-Tray function
Global optimum:
for
for 
Cross-Leg-Table test objective function.
This class defines the Cross-Leg-Table global optimization problem. This is a multimodal minimization problem defined as follows:

Here,
represents the number of dimensions and
for
.
Two-dimensional Cross-Leg-Table function
Global optimum:
. The global minimum is found on the planes
and 
Crowned Cross test objective function.
This class defines the Crowned Cross global optimization problem. This is a multimodal minimization problem defined as follows:

Here,
represents the number of dimensions and
for
.
Two-dimensional Crowned Cross function
Global optimum:
. The global minimum is found on the planes
and 
Csendes test objective function.
This class defines the Csendes global optimization problem. This is a multimodal minimization problem defined as follows:
![f_{\text{Csendes}}(\mathbf{x}) = \sum_{i=1}^n x_i^6 \left[ 2 + \sin \left( \frac{1}{x_i} \right ) \right]](_images/math/6650d8daa1463524b982efd049240b36a7c8a193.png)
Here,
represents the number of dimensions and
for
.
Two-dimensional Csendes function
Global optimum:
for
for 
Cube test objective function.
This class defines the Cube global optimization problem. This is a multimodal minimization problem defined as follows:

Here,
represents the number of dimensions and
for
.
Two-dimensional Cube function
Global optimum:
for ![\mathbf{x} = [1, 1]](_images/math/7dafdca30782528518941cafca8f36e16afc0d35.png)