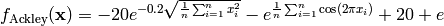
N-D Test Functions A¶Ackley test objective function.
This class defines the Ackley global optimization problem. This is a multimodal minimization problem defined as follows:

Here,
represents the number of dimensions and
for
.
Two-dimensional Ackley function
Global optimum:
for
for 
Adjiman test objective function.
This class defines the Adjiman global optimization problem. This is a multimodal minimization problem defined as follows:

Here,
represents the number of dimensions and
and
.
Two-dimensional Adjiman function
Global optimum:
for ![\mathbf{x} = [2, 0.10578]](_images/math/162fe2f9f814004562f383067e4c225a4f0dd09c.png)
Alpine 1 test objective function.
This class defines the Alpine 1 global optimization problem. This is a multimodal minimization problem defined as follows:

Here,
represents the number of dimensions and
for
.
Two-dimensional Alpine 1 function
Global optimum:
for
for 
Alpine 2 test objective function.
This class defines the Alpine 2 global optimization problem. This is a multimodal minimization problem defined as follows:

Here,
represents the number of dimensions and
for
.
Two-dimensional Alpine 2 function
Global optimum:
for
for 
AMGM test objective function.
This class defines the Arithmetic Mean - Geometric Mean Equality global optimization problem. This is a multimodal minimization problem defined as follows:
![f_{\text{AMGM}}(\mathbf{x}) = \left ( \frac{1}{n} \sum_{i=1}^{n} x_i - \sqrt[n]{ \prod_{i=1}^{n} x_i} \right )^2](_images/math/d1c2373a4dba6366581a2cb780c6923a34b4b4bf.png)
Here,
represents the number of dimensions and
for
.
Two-dimensional Arithmetic Mean - Geometric Mean Equality function
Global optimum:
for
for 