N-D Test Functions W¶Watson test objective function.
This class defines the Watson global optimization problem. This is a unimodal minimization problem defined as follows:
![f_{\text{Watson}}(\mathbf{x}) = \sum_{i=0}^{29} \left\{ \sum_{j=0}^4 ((j - 1)a_i^j x_{j+1}) - \left[ \sum_{j=0}^5 a_i^j x_{j+1} \right ]^2 - 1 \right\}^2 + x_1^2](_images/math/edda0287e0c3d161d02e25b729864e98e402439b.png)
Where, in this exercise,
.
Here,
represents the number of dimensions and
for
.
Global optimum:
for ![\mathbf{x} = [-0.0158, 1.012, -0.2329, 1.260, -1.513, 0.9928]](_images/math/6b3586c898a22817ad72e0f2f2d622c342ad67bd.png)
W / Wavy test objective function.
This class defines the W / Wavy global optimization problem. This is a multimodal minimization problem defined as follows:

Where, in this exercise,
. The number of local minima is
and
for odd and even
respectively.
Here,
represents the number of dimensions and
for
.
Two-dimensional W / Wavy function
Global optimum:
for
for 
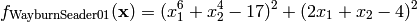
Wayburn and Seader 1 test objective function.
This class defines the Wayburn and Seader 1 global optimization problem. This is a unimodal minimization problem defined as follows:

Here,
represents the number of dimensions and
for
.
Two-dimensional Wayburn and Seader 1 function
Global optimum:
for ![\mathbf{x} = [1, 2]](_images/math/f293ed6d993e1d9892bced5d4f409f0a74cc40d6.png)
Wayburn and Seader 2 test objective function.
This class defines the Wayburn and Seader 2 global optimization problem. This is a unimodal minimization problem defined as follows:
![f_{\text{WayburnSeader02}}(\mathbf{x}) = \left[ 1.613 - 4(x_1 - 0.3125)^2 - 4(x_2 - 1.625)^2 \right]^2 + (x_2 - 1)^2](_images/math/990be194ff5d87d2b15fec0893a170bfa5677b3b.png)
Here,
represents the number of dimensions and
for
.
Two-dimensional Wayburn and Seader 2 function
Global optimum:
for ![\mathbf{x} = [0.2, 1]](_images/math/b117022a43083e1f1edb1fca27f3200db815b2b9.png)
Weierstrass test objective function.
This class defines the Weierstrass global optimization problem. This is a multimodal minimization problem defined as follows:
![f_{\text{Weierstrass}}(\mathbf{x}) = \sum_{i=1}^{n} \left [ \sum_{k=0}^{kmax} a^k \cos \left( 2 \pi b^k (x_i + 0.5) \right) - n \sum_{k=0}^{kmax} a^k \cos(\pi b^k) \right ]](_images/math/1bc139bde96f08a1d941759e448b88a68a7369aa.png)
Where, in this exercise,
,
and
.
Here,
represents the number of dimensions and
for
.
Two-dimensional Weierstrass function
Global optimum:
for
for 
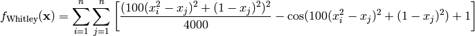
Whitley test objective function.
This class defines the Whitley global optimization problem. This is a multimodal minimization problem defined as follows:
![f_{\text{Whitley}}(\mathbf{x}) = \sum_{i=1}^n \sum_{j=1}^n \left[\frac{(100(x_i^2-x_j)^2 + (1-x_j)^2)^2}{4000} - \cos(100(x_i^2-x_j)^2 + (1-x_j)^2)+1 \right]](_images/math/547f15968bc97fb68942a1bdc08dca77ed2687cd.png)
Here,
represents the number of dimensions and
for
.
Two-dimensional Whitley function
Global optimum:
for
for 
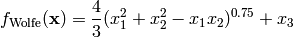
Wolfe test objective function.
This class defines the Wolfe global optimization problem. This is a multimodal minimization problem defined as follows:

Here,
represents the number of dimensions and
for
.
Global optimum:
for
for 