N-D Test Functions S¶Salomon test objective function.
This class defines the Salomon global optimization problem. This is a multimodal minimization problem defined as follows:

Here,
represents the number of dimensions and
for
.
Two-dimensional Salomon function
Global optimum:
for
for 
Sargan test objective function.
This class defines the Sargan global optimization problem. This is a multimodal minimization problem defined as follows:

Here,
represents the number of dimensions and
for
.
Two-dimensional Sargan function
Global optimum:
for
for 
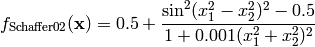
Schaffer 1 test objective function.
This class defines the Schaffer 1 global optimization problem. This is a multimodal minimization problem defined as follows:

Here,
represents the number of dimensions and
for
.
Two-dimensional Schaffer 1 function
Global optimum:
for
for 
Schaffer 2 test objective function.
This class defines the Schaffer 2 global optimization problem. This is a multimodal minimization problem defined as follows:

Here,
represents the number of dimensions and
for
.
Two-dimensional Schaffer 2 function
Global optimum:
for
for 
Schaffer 3 test objective function.
This class defines the Schaffer 3 global optimization problem. This is a multimodal minimization problem defined as follows:

Here,
represents the number of dimensions and
for
.
Two-dimensional Schaffer 3 function
Global optimum:
for ![\mathbf{x} = [0, 1.253115]](_images/math/1c8a14ce656a36907bd498cf922a1648d19c2e1d.png)
Schaffer 4 test objective function.
This class defines the Schaffer 4 global optimization problem. This is a multimodal minimization problem defined as follows:

Here,
represents the number of dimensions and
for
.
Two-dimensional Schaffer 4 function
Global optimum:
for ![\mathbf{x} = [0, 1.253115]](_images/math/1c8a14ce656a36907bd498cf922a1648d19c2e1d.png)
Schmidt-Vetters test objective function.
This class defines the Schmidt-Vetters global optimization problem. This is a multimodal minimization problem defined as follows:

Here,
represents the number of dimensions and
for
.
Global optimum:
for
for 
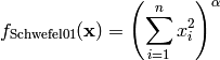
Schwefel 1 test objective function.
This class defines the Schwefel 1 global optimization problem. This is a unimodal minimization problem defined as follows:

Where, in this exercise,
.
Here,
represents the number of dimensions and
for
.
Two-dimensional Schwefel 1 function
Global optimum:
for
for 
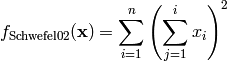
Schwefel 2 test objective function.
This class defines the Schwefel 2 global optimization problem. This is a unimodal minimization problem defined as follows:

Here,
represents the number of dimensions and
for
.
Two-dimensional Schwefel 2 function
Global optimum:
for
for 
Schwefel 4 test objective function.
This class defines the Schwefel 4 global optimization problem. This is a multimodal minimization problem defined as follows:
![f_{\text{Schwefel04}}(\mathbf{x}) = \sum_{i=1}^n \left[(x_i - 1)^2 + (x_1 - x_i^2)^2 \right]](_images/math/91ce2f09edc56fecc35a1e898ef7c68bdc3ec675.png)
Here,
represents the number of dimensions and
for
.
Two-dimensional Schwefel 4 function
Global optimum:
for
for 
Schwefel 6 test objective function.
This class defines the Schwefel 6 global optimization problem. This is a unimodal minimization problem defined as follows:

Here,
represents the number of dimensions and
for
.
Two-dimensional Schwefel 6 function
Global optimum:
for ![\mathbf{x} = [1, 3]](_images/math/e85719292cf919a07142ed7f6c9f792d75bf0332.png)
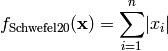
Schwefel 20 test objective function.
This class defines the Schwefel 20 global optimization problem. This is a unimodal minimization problem defined as follows:

Here,
represents the number of dimensions and
for
.
Two-dimensional Schwefel 20 function
Global optimum:
for
for 
Schwefel 21 test objective function.
This class defines the Schwefel 21 global optimization problem. This is a unimodal minimization problem defined as follows:

Here,
represents the number of dimensions and
for
.
Two-dimensional Schwefel 21 function
Global optimum:
for
for 
Schwefel 22 test objective function.
This class defines the Schwefel 22 global optimization problem. This is a multimodal minimization problem defined as follows:

Here,
represents the number of dimensions and
for
.
Two-dimensional Schwefel 22 function
Global optimum:
for
for 
Schwefel 26 test objective function.
This class defines the Schwefel 26 global optimization problem. This is a multimodal minimization problem defined as follows:

Here,
represents the number of dimensions and
for
.
Two-dimensional Schwefel 26 function
Global optimum:
for
for 
Schwefel 36 test objective function.
This class defines the Schwefel 36 global optimization problem. This is a multimodal minimization problem defined as follows:

Here,
represents the number of dimensions and
for
.
Two-dimensional Schwefel 36 function
Global optimum:
for ![\mathbf{x} = [12, 12]](_images/math/8d6e171f9eb00c762e5603ec8859d8832d2b87ce.png)
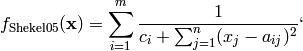
Shekel 5 test objective function.
This class defines the Shekel 5 global optimization problem. This is a multimodal minimization problem defined as follows:

Where, in this exercise:


Here,
represents the number of dimensions and
for
.
Global optimum:
for
for 
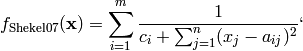
Shekel 7 test objective function.
This class defines the Shekel 7 global optimization problem. This is a multimodal minimization problem defined as follows:

Where, in this exercise:


Here,
represents the number of dimensions and
for
.
Global optimum:
for
for 
Shekel 10 test objective function.
This class defines the Shekel 10 global optimization problem. This is a multimodal minimization problem defined as follows:

Where, in this exercise:


Here,
represents the number of dimensions and
for
.
Global optimum:
for
for 
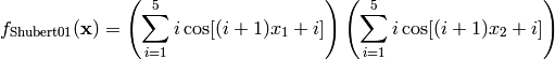
Shubert 1 test objective function.
This class defines the Shubert 1 global optimization problem. This is a multimodal minimization problem defined as follows:
![f_{\text{Shubert01}}(\mathbf{x}) = \left( \sum\limits_{i=1}^{5} i\cos[(i+1)x_1 + i] \right) \left( \sum\limits_{i=1}^{5} i\cos[(i+1)x_2 + i] \right)](_images/math/80ae0f9fb9c27d62eadc11e6ce07d89f7df6c063.png)
Here,
represents the number of dimensions and
for
.
Two-dimensional Shubert 1 function
Global optimum:
for
(and many others).
Shubert 3 test objective function.
This class defines the Shubert 3 global optimization problem. This is a multimodal minimization problem defined as follows:
![f_{\text{Shubert03}}(\mathbf{x}) = \sum_{i=1}^n \sum_{j=1}^5 j \sin \left[(j+1)x_i \right] + j](_images/math/96157286b6961f80a8a3dfde86ade1830dc7017b.png)
Here,
represents the number of dimensions and
for
.
Two-dimensional Shubert 3 function
Global optimum:
for
(and many others).
Shubert 4 test objective function.
This class defines the Shubert 4 global optimization problem. This is a multimodal minimization problem defined as follows:
![f_{\text{Shubert04}}(\mathbf{x}) = \sum_{i=1}^n \sum_{j=1}^5 j \cos \left[(j+1)x_i \right] + j](_images/math/d38beee1312c3afe303b90bd1c06cefdb6bd55c0.png)
Here,
represents the number of dimensions and
for
.
Two-dimensional Shubert 4 function
Global optimum:
for
(and many others).
SineEnvelope test objective function.
This class defines the SineEnvelope global optimization problem. This is a multimodal minimization problem defined as follows:
![f_{\text{SineEnvelope}}(\mathbf{x}) = -\sum_{i=1}^{n-1}\left[\frac{\sin^2(\sqrt{x_{i+1}^2+x_{i}^2}-0.5)}{(0.001(x_{i+1}^2+x_{i}^2)+1)^2}+0.5\right]](_images/math/72af5b02650c05fb4f4eb6b609e0fc715d7f0fb9.png)
Here,
represents the number of dimensions and
for
.
Two-dimensional SineEnvelope function
Global optimum:
for
for 
Six Hump Camel test objective function.
This class defines the Six Hump Camel global optimization problem. This is a multimodal minimization problem defined as follows:

Here,
represents the number of dimensions and
for
.
Two-dimensional Six Hump Camel function
Global optimum:
for
or ![\mathbf{x} = [-0.08984201368301331, 0.7126564032704135]](_images/math/bdf3285a889a30cd96ab47f6216ae5112a8787ca.png)
Sodp test objective function.
This class defines the Sum Of Different Powers global optimization problem. This is a multimodal minimization problem defined as follows:

Here,
represents the number of dimensions and
for
.
Two-dimensional Sum Of Different Powers function
Global optimum:
for
for 
Sphere test objective function.
This class defines the Sphere global optimization problem. This is a multimodal minimization problem defined as follows:

Here,
represents the number of dimensions and
for
.
Two-dimensional Sphere function
Global optimum:
for
for 
Step test objective function.
This class defines the Step global optimization problem. This is a multimodal minimization problem defined as follows:

Here,
represents the number of dimensions and
for
.
Two-dimensional Step function
Global optimum:
for
for 
Stochastic test objective function.
This class defines a Stochastic global optimization problem. This is a multimodal minimization problem defined as follows:

The variable
is a random variable uniformly distributed in
.
Here,
represents the number of dimensions and
for
.
Two-dimensional Stochastic function
Global optimum:
for
for 
StretchedV test objective function.
This class defines the Stretched V global optimization problem. This is a multimodal minimization problem defined as follows:
![f_{\text{StretchedV}}(\mathbf{x}) = \sum_{i=1}^{n-1} t^{1/4} [\sin (50t^{0.1}) + 1]^2](_images/math/653f0b6c39e2381ae62295cb1e9a86663efcca2e.png)
Where, in this exercise:

Here,
represents the number of dimensions and
for
.
Two-dimensional StretchedV function
Global optimum:
for
when
.
StyblinskiTang test objective function.
This class defines the Styblinski-Tang global optimization problem. This is a multimodal minimization problem defined as follows:

Here,
represents the number of dimensions and
for
.
Two-dimensional Styblinski-Tang function
Global optimum:
for
for 