N-D Test Functions P¶Parsopoulos test objective function.
This class defines the Parsopoulos global optimization problem. This is a multimodal minimization problem defined as follows:

Here,
represents the number of dimensions and
for
.
Two-dimensional Parsopoulos function
Global optimum: This function has infinite number of global minima in R2, at points
,
where
and 
In the given domain problem, function has 12 global minima all equal to zero.
Pathological test objective function.
This class defines the Pathological global optimization problem. This is a multimodal minimization problem defined as follows:

Here,
represents the number of dimensions and
for
.
Two-dimensional Pathological function
Global optimum:
for
for 
Paviani test objective function.
This class defines the Paviani global optimization problem. This is a multimodal minimization problem defined as follows:
![f_{\text{Paviani}}(\mathbf{x}) = \sum_{i=1}^{10} \left[\log^{2}\left(10 - x_i\right) + \log^{2}\left(x_i -2\right)\right] - \left(\prod_{i=1}^{10} x_i^{10} \right)^{0.2}](_images/math/e9004b1ed31a772bbb76eb6168f17ab8f46ef6af.png)
Here,
represents the number of dimensions and
for
.
Global optimum:
for
for 
Penalty 1 test objective function.
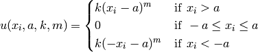
This class defines the Penalty 1 global optimization problem. This is a multimodal minimization problem defined as follows:
![f_{\text{Penalty01}}(\mathbf{x}) = \frac{\pi}{30} \left\{10 \sin^2(\pi y_1) + \sum_{i=1}^{n-1} (y_i - 1)^2 \left[1 + 10 \sin^2(\pi y_{i+1}) \right ] + (y_n - 1)^2 \right \} + \sum_{i=1}^n u(x_i, 10, 100, 4)](_images/math/8f84d6bf1a7c879c73145193287f25d29159af83.png)
Where, in this exercise:

And:

Here,
represents the number of dimensions and
for
.
Two-dimensional Penalty 1 function
Global optimum:
for
for 
Penalty 2 test objective function.
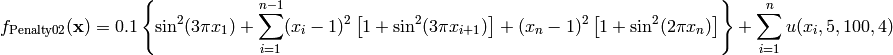
This class defines the Penalty 2 global optimization problem. This is a multimodal minimization problem defined as follows:
![f_{\text{Penalty02}}(\mathbf{x}) = 0.1 \left\{\sin^2(3\pi x_1) + \sum_{i=1}^{n-1} (x_i - 1)^2 \left[1 + \sin^2(3\pi x_{i+1}) \right ] + (x_n - 1)^2 \left [1 + \sin^2(2 \pi x_n) \right ]\right \} + \sum_{i=1}^n u(x_i, 5, 100, 4)](_images/math/e2fd35c148a58b75bd0725f24ce8ea75772f8f1f.png)
Where, in this exercise:

Here,
represents the number of dimensions and
for
.
Two-dimensional Penalty 2 function
Global optimum:
for
for 
PenHolder test objective function.
This class defines the PenHolder global optimization problem. This is a multimodal minimization problem defined as follows:

Here,
represents the number of dimensions and
for
.
Two-dimensional PenHolder function
Global optimum:
for
for 
PermFunction 1 test objective function.
This class defines the Perm Function 1 global optimization problem. This is a multimodal minimization problem defined as follows:
![f_{\text{PermFunction01}}(\mathbf{x}) = \sum_{k=1}^n \left\{ \sum_{j=1}^n (j^k + \beta) \left[ \left(\frac{x_j}{j}\right)^k - 1 \right] \right\}^2](_images/math/86131159d3a5713942ef9fa746f9e644c00ba1dd.png)
Here,
represents the number of dimensions and
for
.
Two-dimensional PermFunction 1 function
Global optimum:
for
for 
PermFunction 2 test objective function.
This class defines the Perm Function 2 global optimization problem. This is a multimodal minimization problem defined as follows:
![f_{\text{PermFunction02}}(\mathbf{x}) = \sum_{k=1}^n \left\{ \sum_{j=1}^n (j + \beta) \left[ \left(x_j^k - \frac{1}{j} \right ) \right] \right\}^2](_images/math/2d6413650ad49e513fd577f73a3245f5964c44e5.png)
Here,
represents the number of dimensions and
for
.
Two-dimensional PermFunction 2 function
Global optimum:
for
for 
Pinter test objective function.
This class defines the Pinter global optimization problem. This is a multimodal minimization problem defined as follows:

Where, in this exercise:

Where
and
.
Here,
represents the number of dimensions and
for
.
Two-dimensional Pinter function
Global optimum:
for
for 
Plateau test objective function.
This class defines the Plateau global optimization problem. This is a multimodal minimization problem defined as follows:

Here,
represents the number of dimensions and
for
.
Two-dimensional Plateau function
Global optimum:
for
for 
Powell test objective function.
This class defines the Powell global optimization problem. This is a multimodal minimization problem defined as follows:

Here,
represents the number of dimensions and
for
.
Global optimum:
for
for 
Power sum test objective function.
This class defines the Power Sum global optimization problem. This is a multimodal minimization problem defined as follows:
![f_{\text{PowerSum}}(\mathbf{x}) = \sum_{k=1}^n\left[\left(\sum_{i=1}^n x_i^k \right) - b_k \right]^2](_images/math/9021e8055786a6b5e161b7d05ed33d707ca68bd4.png)
Where, in this exercise, ![\mathbf{b} = [8, 18, 44, 114]](_images/math/60aa4fd2d6f185448a71c22abdde0bce511e1128.png)
Here,
represents the number of dimensions and
for
.
Global optimum:
for ![\mathbf{x} = [1, 2, 2, 3]](_images/math/2a08212ee3af188ac51fd229b1d4454e31240664.png)
Price 1 test objective function.
This class defines the Price 1 global optimization problem. This is a multimodal minimization problem defined as follows:

Here,
represents the number of dimensions and
for
.
Two-dimensional Price 1 function
Global optimum:
for
or
or
or ![\mathbf{x} = [-5, -5]](_images/math/c919182eb588895f12fa465da74a349e5f99f8b1.png)
Price 2 test objective function.
This class defines the Price 2 global optimization problem. This is a multimodal minimization problem defined as follows:

Here,
represents the number of dimensions and
for
.
Two-dimensional Price 2 function
Global optimum:
for
for 
Price 3 test objective function.
This class defines the Price 3 global optimization problem. This is a multimodal minimization problem defined as follows:
![f_{\text{Price03}}(\mathbf{x}) = 100(x_2 - x_1^2)^2 + \left[6.4(x_2 - 0.5)^2 - x_1 - 0.6 \right]^2](_images/math/ed1c7bd06827610a030b02fcddadfb13ff9b31da.png)
Here,
represents the number of dimensions and
for
.
Two-dimensional Price 3 function
Global optimum:
for
,
,
, ![\mathbf{x} = [5, 5]](_images/math/418e74c9c24b213c723e292c30dbf8df56578d19.png)
Price 4 test objective function.
This class defines the Price 4 global optimization problem. This is a multimodal minimization problem defined as follows:

Here,
represents the number of dimensions and
for
.
Two-dimensional Price 4 function
Global optimum:
for
,
and
![\mathbf{x} = [1.464, -2.506]](_images/math/0481e55c9268e119e9d1f1452a36fa9f90e9713e.png)