test_functions N-D Test Functions J

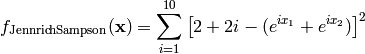
class go_benchmark.JennrichSampson(dimensions=2)

Jennrich-Sampson test objective function.

This class defines the Jennrich-Sampson global optimization problem. This is a multimodal minimization problem defined as follows:

f_{\text{JennrichSampson}}(\mathbf{x}) = \sum_{i=1}^{10} \left [2 + 2i - (e^{ix_1} + e^{ix_2}) \right ]^2

Here, n represents the number of dimensions and x_i \in [-1, 1] for i=1,2.

Jennrich-Sampson function

Two-dimensional Jennrich-Sampson function

Global optimum: f(x_i) = 124.3621824 for \mathbf{x} = [0.257825, 0.257825].


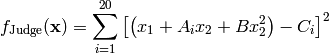
class go_benchmark.Judge(dimensions=2)

Judge test objective function.

This class defines the Judge global optimization problem. This is a multimodal minimization problem defined as follows:

f_{\text{Judge}}(\mathbf{x}) = \sum_{i=1}^{20} \left [ \left (x_1 + A_i x_2 + B x_2^2 \right ) - C_i \right ]^2

Where, in this exercise:

\begin{cases} A = [4.284, 4.149, 3.877, 0.533, 2.211, 2.389, 2.145,  3.231, 1.998, 1.379, 2.106, 1.428, 1.011, 2.179, 2.858, 1.388, 1.651, 1.593, 1.046, 2.152] \\
B = [0.286, 0.973, 0.384, 0.276, 0.973, 0.543, 0.957, 0.948, 0.543, 0.797, 0.936, 0.889, 0.006, 0.828, 0.399, 0.617, 0.939, 0.784, 0.072, 0.889] \\
C = [0.645, 0.585, 0.310, 0.058, 0.455, 0.779, 0.259, 0.202, 0.028, 0.099, 0.142, 0.296, 0.175, 0.180, 0.842, 0.039, 0.103, 0.620, 0.158, 0.704] \end{cases}

Here, n represents the number of dimensions and x_i \in [-10, 10] for i=1,2.

Judge function

Two-dimensional Judge function

Global optimum: f(x_i) = 16.0817307 for \mathbf{x} = [0.86479, 1.2357].

Previous topic

N-D Test Functions I

Next topic

N-D Test Functions K

This Page